C'est a dire une voute en demi-arc de cercle formée de 4 pierres uniquement.
On étudie la
statique du système.
On considère les hypothèses suivantes :
Le système matériel
étudié est la demi-voute dans son ensemble.
Le haut de la voute est mobilisée par une réaction ;
N étant l'effort de
poussée que la structure de l'église reporte sur la voûte.
Il n'y a pas d'encastrement au niveau des appuis. Chaque pierre est de même
poids et chaque pierre est indéformable. Aucune pierre ne transmet de moment.
On considère les hypothèses de calcul
suivantes :
Poids de chaque pierre : p =1
Poussée d'appui horizontale : Ha=N = 10
Réaction d'appui horizontale en b: Hb
Réaction
d'appui verticale en b: Vb
Angle alpha = 22.5 degrés
L'effort horizontal N est
transmis en Hb Par la voute. le poids est transmis à l'appui en Vb.
Calcul des sous-systèmes
En A, la poussée N est transmise de la pierre
1 vers la pierre 2 et ainsi de suite vers la pierre 4 jusqu'à l'appui B.
On s'intéresse aux réactions des pierres les unes sur les
autres. Pour calculer ces forces.On peut exprimer le fait que chaque pierre doit être en équilibre statique vis à vis
de toutes les forces extérieures.
En étudiant le système
matériel "pierre 1", on se rend compte que la pierre 1 est soumise à N
(la poussée horizontale), p (son poids) et R (la réaction à la surface S1 de la
pierre 2 sur la pierre 1 (normale et tangentielle).
En faisant de même pour
chaque pierre de 1 à 4, on obtient les réactions de chaque pierre les unes vis
à vis des autres.
Équilibre de la pierre 1

Équilibre de la pierre 1

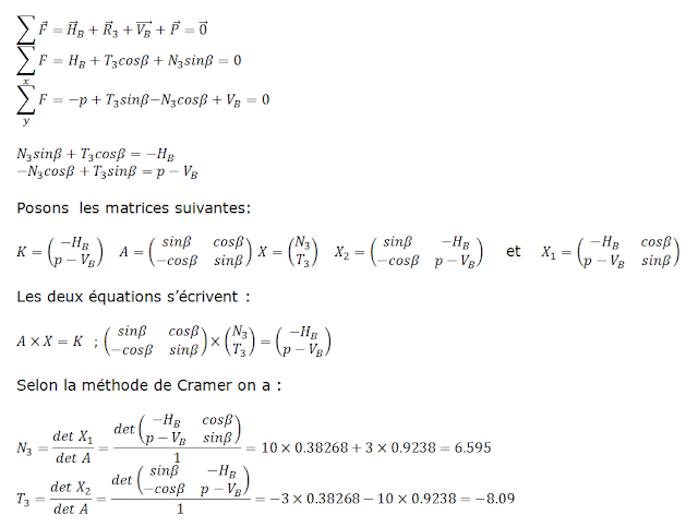
Équilibre
de la pierre 4
Équilibre pierres 2
Pour les pierres
intermédiaires 2 et 3 nous avons choisi d’exprimer les relations d’équilibre
dans un sous-système particulier ou le nombre des forces est minimal:








Aucun commentaire:
Enregistrer un commentaire